8/9 Chapter 2 Test Rational Numbers Period

Worksheet by Wendy Miller
8/9 Chapter 2 Test Rational Numbers Period worksheet preview image
Subjects
Math
Grades
7
Language
ENG
Assignments
14 classrooms used this worksheet

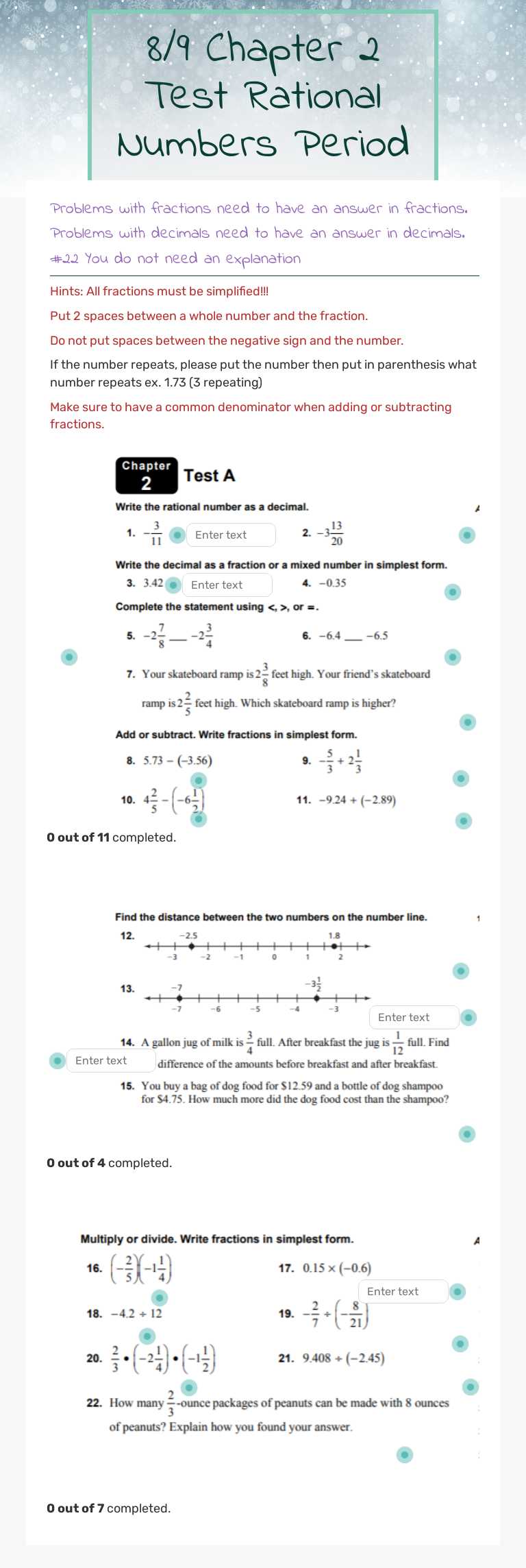
Problems with fractions need to have an answer in fractions.Problems with decimals need to have an answer in decimals.#22 You do not need an explanation Hints: All fractions must be simplified!!!Put 2 spaces between a whole number and the fraction.Do not put spaces between the negative sign and the number.If the number repeats, please put the number then put in parenthesis what number repeats ex. 1.73 (3 repeating)Make sure to have a common denominator when adding or subtracting fractions. -0.27 (27 repeating) -3.65 3 21 -7 friend's 9.29 2 10 9 -12.13 4.3 3 1 2 7.84 1 -0.09 3 -0.35 2 1 -3.84 12

Use This Worksheet